Contoh soalan sains pt3, contoh soalan sains tahun 4, contoh soalan sejarah spm, contoh soalan sejarah tingkatan 4, contoh soalan sejarah tingkatan 4 2020, contoh soalan sains tingkatan 2 akhir tahun, contoh soalan sejarah tingkatan 2, contoh soalan exam spa, contoh soalan ekonomi stpm, contoh soalan english spa, contoh soalan iq, contoh soalan jpa, contoh soalan ptd, contoh soalan sbp, contoh soalan mrsm, contoh soalan muet, contoh soalan pksk, contoh soalan pt3, contoh soalan spa, contoh soalan spm, contoh soalan ukcg, contoh soalan tolak,


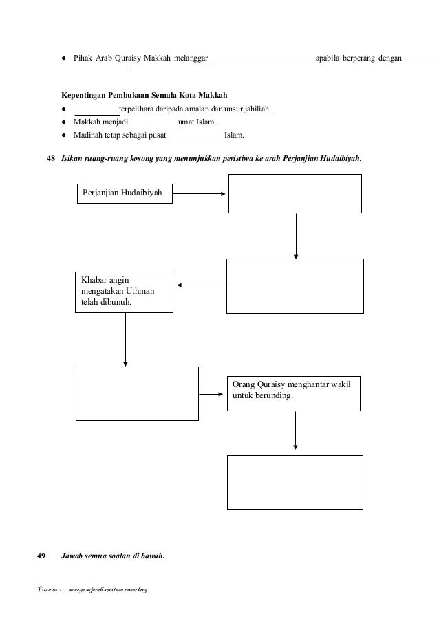
Random Image
